Официальное опубликование правовых актов
ОФИЦИАЛЬНОЕ ОПУБЛИКОВАНИЕ
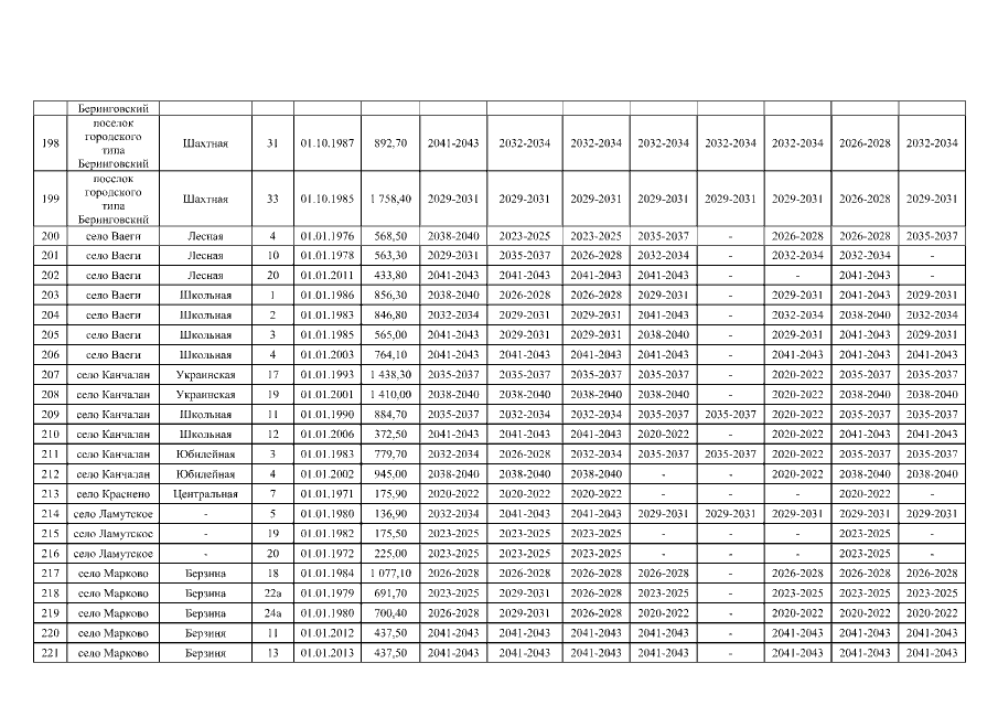
Постановление Правительства Чукотского автономного округа от 26.12.2019 № 605
"О внесении изменений в Постановление Правительства Чукотского автономного округа от 25 ноября 2014 года № 555"
Номер опубликования: 8700201912300003
Дата опубликования: 30.12.2019
Страница №14 из 47:
Увеличить