Официальное опубликование правовых актов
ОФИЦИАЛЬНОЕ ОПУБЛИКОВАНИЕ
Постановление Правительства Чукотского автономного округа от 23.03.2020 № 123
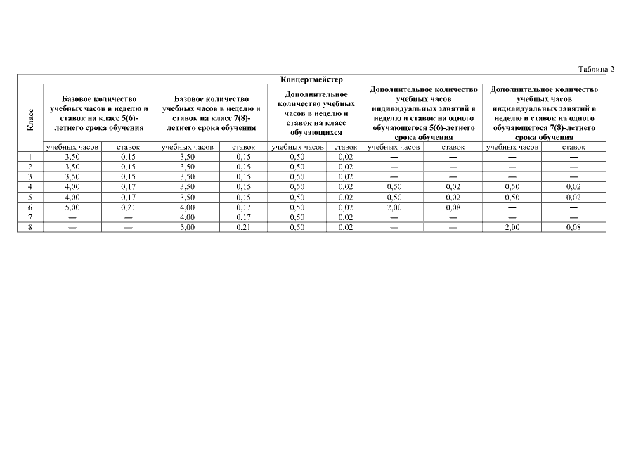
"Об утверждении методик формирования модельных штатных расписаний и количества ставок педагогических работников для расчёта фонда оплаты труда образовательных учреждений Чукотского автономного округа, входящих в Чукотский (надмуниципальный) образовательный округ, на 2020 год и на плановый период 2021 и 2022 годов"
Номер опубликования: 8700202003260009
Дата опубликования: 26.03.2020
Страница №85 из 85:
Увеличить