Официальное опубликование правовых актов
ОФИЦИАЛЬНОЕ ОПУБЛИКОВАНИЕ
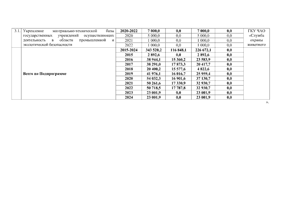
Постановление Правительства Чукотского автономного округа от 21.04.2020 № 179
"О внесении изменений в Постановление Правительства Чукотского автономного округа от 15 января 2015 года № 20"
Номер опубликования: 8700202004280008
Дата опубликования: 28.04.2020
Страница №26 из 27:
Увеличить