Официальное опубликование правовых актов
ОФИЦИАЛЬНОЕ ОПУБЛИКОВАНИЕ
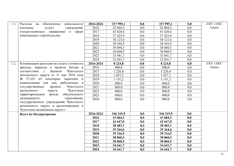
Постановление Правительства Чукотского автономного округа от 20.05.2020 № 235
"О внесении изменений в Постановление Правительства Чукотского автономного округа от 28 января 2016 года № 41"
Номер опубликования: 8700202005220005
Дата опубликования: 22.05.2020
Страница №6 из 7:
Увеличить