Официальное опубликование правовых актов
ОФИЦИАЛЬНОЕ ОПУБЛИКОВАНИЕ
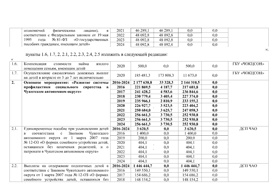
Постановление Правительства Чукотского автономного округа от 16.12.2020 № 570
"О внесении изменений в Постановление Правительства Чукотского автономного округа от 21 октября 2013 года № 404"
Номер опубликования: 8700202012220006
Дата опубликования: 22.12.2020
Страница №17 из 32:
Увеличить