Официальное опубликование правовых актов
ОФИЦИАЛЬНОЕ ОПУБЛИКОВАНИЕ
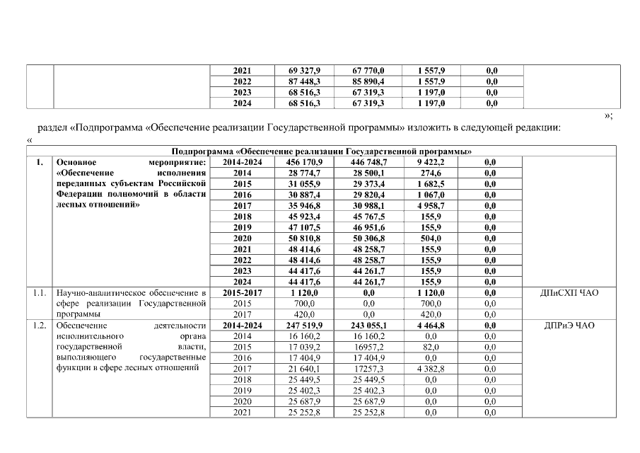
Постановление Правительства Чукотского автономного округа от 29.12.2020 № 603
"О внесении изменений в Постановление Правительства Чукотского автономного округа от 21 октября 2013 года № 409"
Номер опубликования: 8700202012310006
Дата опубликования: 31.12.2020
Страница №10 из 12:
Увеличить