Официальное опубликование правовых актов
ОФИЦИАЛЬНОЕ ОПУБЛИКОВАНИЕ
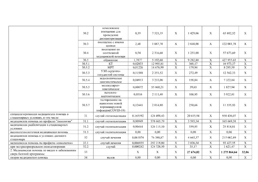
Постановление Правительства Чукотского автономного округа от 11.01.2021 № 1
"Об утверждении Территориальной программы государственных гарантий бесплатного оказания гражданам медицинской помощи на 2021 год и на плановый период 2022 и 2023 годов в Чукотском автономном округе"
Номер опубликования: 8700202101130001
Дата опубликования: 13.01.2021
Страница №164 из 418:
Увеличить