Официальное опубликование правовых актов
ОФИЦИАЛЬНОЕ ОПУБЛИКОВАНИЕ
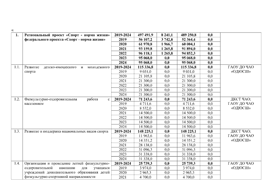
Постановление Правительства Чукотского автономного округа от 20.01.2021 № 10
"О внесении изменений в Постановление Правительства Чукотского автономного округа от 24 апреля 2019 года № 229"
Номер опубликования: 8700202101220004
Дата опубликования: 22.01.2021
Страница №15 из 28:
Увеличить