Официальное опубликование правовых актов
ОФИЦИАЛЬНОЕ ОПУБЛИКОВАНИЕ
Постановление Правительства Чукотского автономного округа от 25.01.2021 № 18
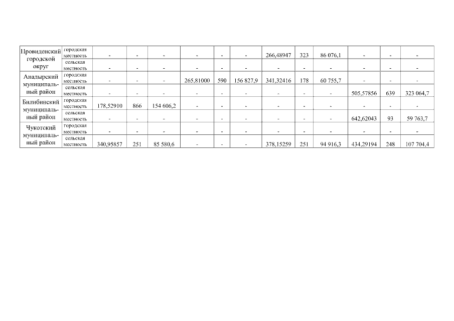
"Об установлении нормативов финансового обеспечения государственных гарантий реализации прав на получение общедоступного и бесплатного дошкольного образования в муниципальных дошкольных образовательных организациях, общедоступного и бесплатного дошкольного, начального общего, основного общего, среднего общего образования в муниципальных общеобразовательных организациях, а также дополнительного образования детей в муниципальных образовательных организациях, входящих в Чукотский (надмуниципальный) образовательный округ, на 2021 год и на плановый период 2022 и 2023 годов"
Номер опубликования: 8700202101290009
Дата опубликования: 29.01.2021
Страница №10 из 14:
Увеличить