Официальное опубликование правовых актов
ОФИЦИАЛЬНОЕ ОПУБЛИКОВАНИЕ
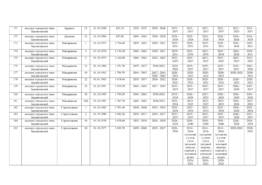
Постановление Правительства Чукотского автономного округа от 29.01.2021 № 23
"О внесении изменений в Постановление Правительства Чукотского автономного округа от 25 ноября 2014 года № 555"
Номер опубликования: 8700202102010004
Дата опубликования: 01.02.2021
Страница №13 из 42:
Увеличить