Официальное опубликование правовых актов
ОФИЦИАЛЬНОЕ ОПУБЛИКОВАНИЕ
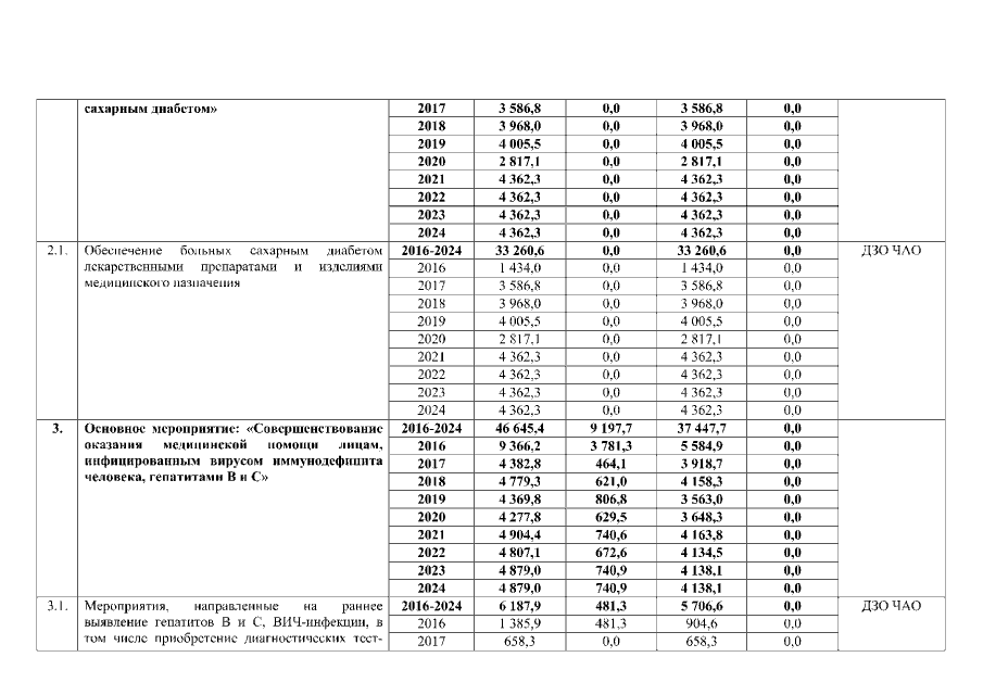
Постановление Правительства Чукотского автономного округа от 11.02.2021 № 35
"О внесении изменений в Постановление Правительства Чукотского автономного округа от 30 марта 2016 года № 151"
Номер опубликования: 8700202102160003
Дата опубликования: 16.02.2021
Страница №42 из 75:
Увеличить