Официальное опубликование правовых актов
ОФИЦИАЛЬНОЕ ОПУБЛИКОВАНИЕ
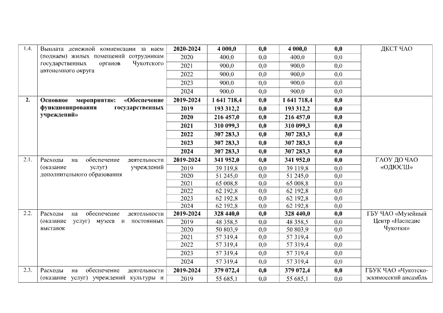
Постановление Правительства Чукотского автономного округа от 02.03.2021 № 46
"О внесении изменений в Постановление Правительства Чукотского автономного округа от 24 апреля 2019 года № 229"
Номер опубликования: 8700202103090001
Дата опубликования: 09.03.2021
Страница №43 из 46:
Увеличить