Официальное опубликование правовых актов
ОФИЦИАЛЬНОЕ ОПУБЛИКОВАНИЕ
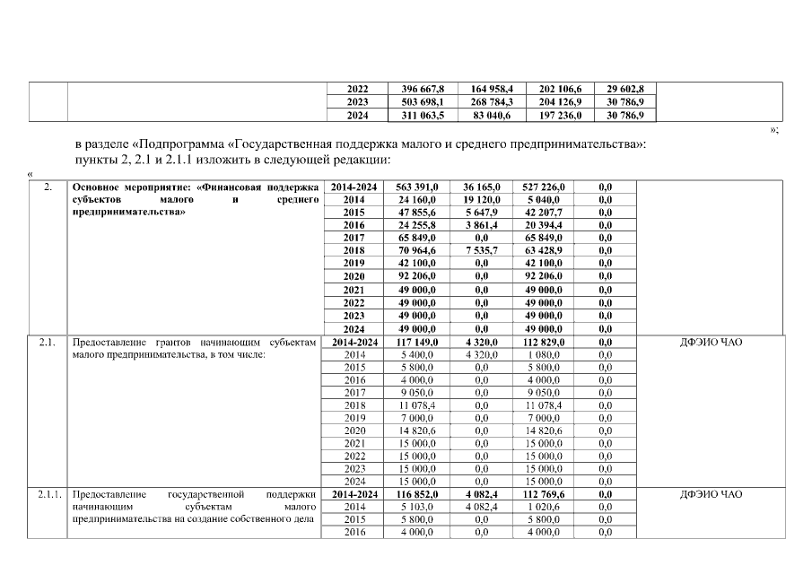
Постановление Правительства Чукотского автономного округа от 30.03.2021 № 81
"О внесении изменений в Постановление Правительства Чукотского автономного округа от 21 октября 2013 года № 410"
Номер опубликования: 8700202104010007
Дата опубликования: 01.04.2021
Страница №33 из 95:
Увеличить