Официальное опубликование правовых актов
ОФИЦИАЛЬНОЕ ОПУБЛИКОВАНИЕ
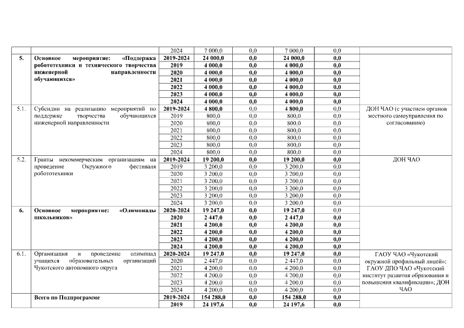
Постановление Правительства Чукотского автономного округа от 05.04.2021 № 99
"О внесении изменений в Постановление Правительства Чукотского автономного округа от 8 апреля 2019 года № 192"
Номер опубликования: 8700202104080001
Дата опубликования: 08.04.2021
Страница №34 из 90:
Увеличить