Официальное опубликование правовых актов
ОФИЦИАЛЬНОЕ ОПУБЛИКОВАНИЕ
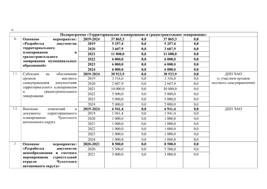
Постановление Правительства Чукотского автономного округа от 12.05.2021 № 142
"О внесении изменений в Постановление Правительства Чукотского автономного округа от 16 августа 2017 года № 316"
Номер опубликования: 8700202105140002
Дата опубликования: 14.05.2021
Страница №12 из 40:
Увеличить