Официальное опубликование правовых актов
ОФИЦИАЛЬНОЕ ОПУБЛИКОВАНИЕ
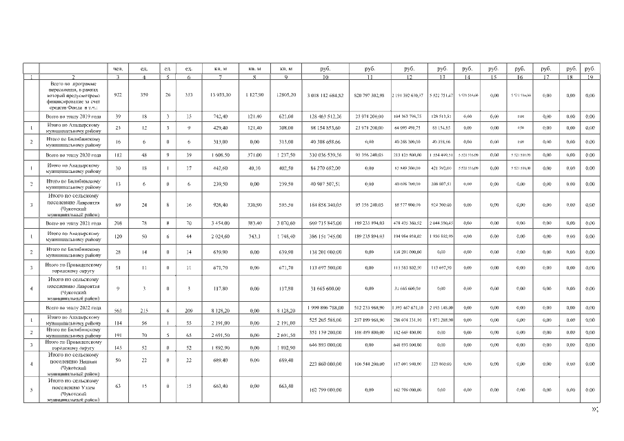
Постановление Правительства Чукотского автономного округа от 24.05.2021 № 161
"О внесении изменений в Постановление Правительства Чукотского автономного округа от 29 марта 2019 года № 170"
Номер опубликования: 8700202105270003
Дата опубликования: 27.05.2021
Страница №20 из 31:
Увеличить