Официальное опубликование правовых актов
ОФИЦИАЛЬНОЕ ОПУБЛИКОВАНИЕ
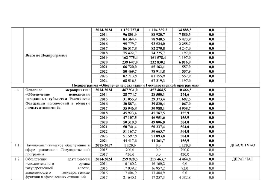
Постановление Правительства Чукотского автономного округа от 28.05.2021 № 183
"О внесении изменений в Постановление Правительства Чукотского автономного округа от 21 октября 2013 года № 409"
Номер опубликования: 8700202105310003
Дата опубликования: 31.05.2021
Страница №15 из 19:
Увеличить