Официальное опубликование правовых актов
ОФИЦИАЛЬНОЕ ОПУБЛИКОВАНИЕ
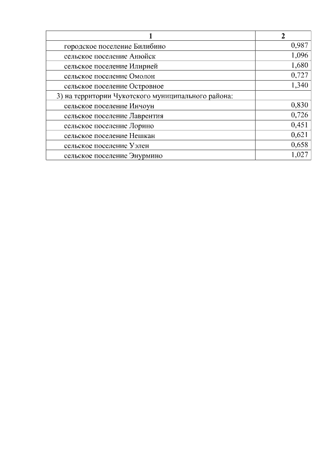
Постановление Правительства Чукотского автономного округа от 02.12.2021 № 496
"Об установлении поправочных коэффициентов расходных потребностей на 2022 год и на плановый период 2023 и 2024 годов для муниципальных образований Чукотского автономного округа"
Номер опубликования: 8700202112060003
Дата опубликования: 06.12.2021
Страница №3 из 5:
Увеличить