Официальное опубликование правовых актов
ОФИЦИАЛЬНОЕ ОПУБЛИКОВАНИЕ
Постановление Правительства Чукотского автономного округа от 20.12.2021 № 534
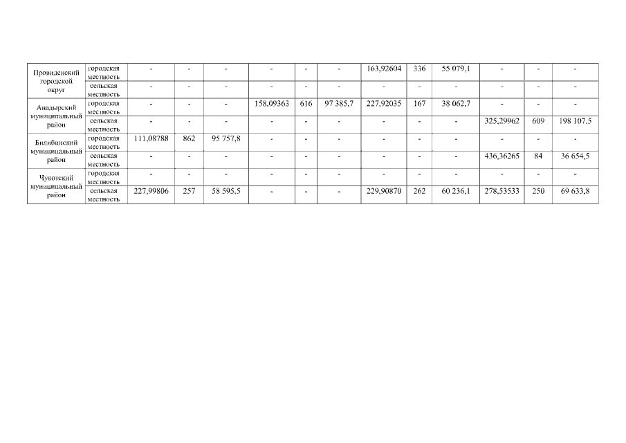
"Об установлении нормативов финансового обеспечения государственных гарантий реализации прав на получение общедоступного и бесплатного дошкольного образования в муниципальных дошкольных образовательных организациях, общедоступного и бесплатного дошкольного, начального общего, основного общего, среднего общего образования в муниципальных общеобразовательных организациях, а также дополнительного образования детей в муниципальных образовательных организациях, входящих в Чукотский (надмуниципальный) образовательный округ, на 2022 год и на плановый период 2023 и 2024 годов"
Номер опубликования: 8700202112210004
Дата опубликования: 21.12.2021
Страница №9 из 17:
Увеличить