Официальное опубликование правовых актов
ОФИЦИАЛЬНОЕ ОПУБЛИКОВАНИЕ
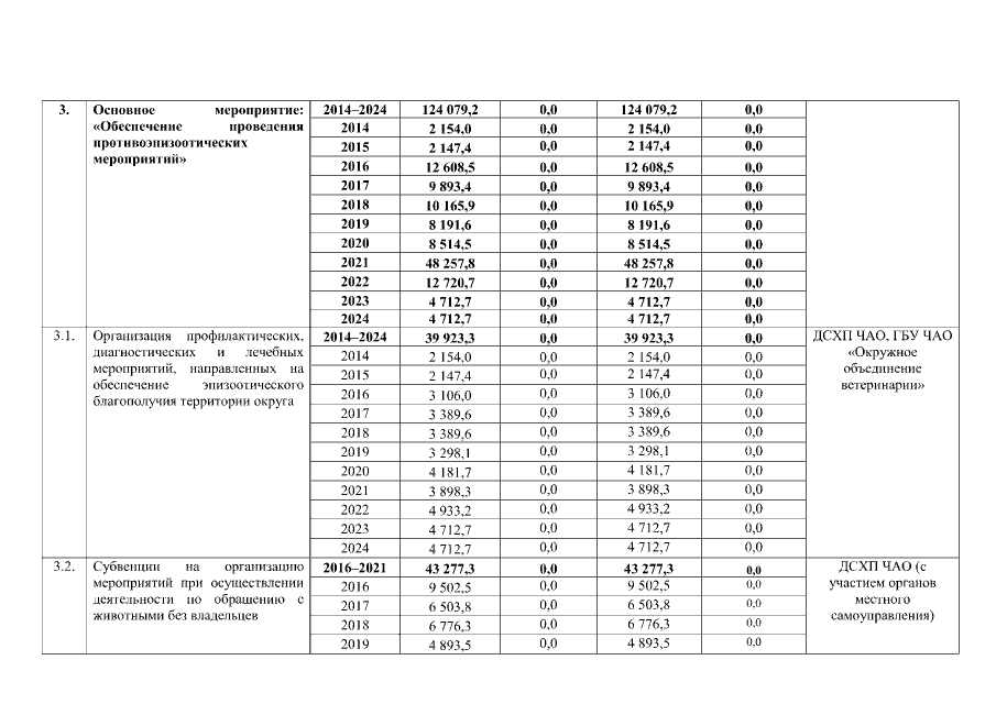
Постановление Правительства Чукотского автономного округа от 06.04.2022 № 170
"О внесении изменений в Постановление Правительства Чукотского автономного округа от 21 октября 2013 года № 411"
Номер опубликования: 8700202204070001
Дата опубликования: 07.04.2022
Страница №54 из 83:
Увеличить