Официальное опубликование правовых актов
ОФИЦИАЛЬНОЕ ОПУБЛИКОВАНИЕ
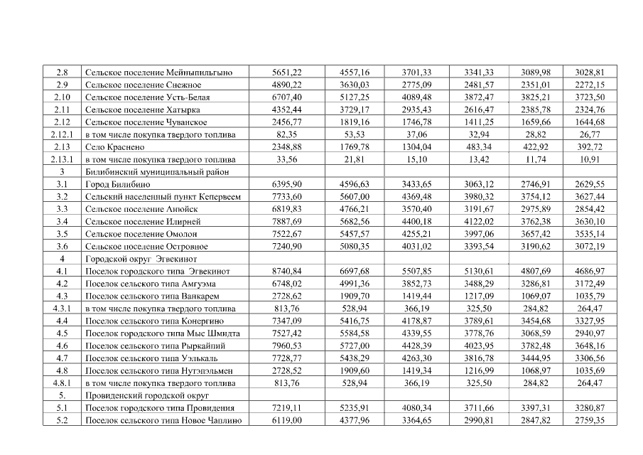
Постановление Правительства Чукотского автономного округа от 31.03.2023 № 162
"Об установлении региональных стандартов стоимости жилищно-коммунальных услуг, используемых для расчёта субсидий на оплату жилого помещения и коммунальных услуг в 2023 году"
Номер опубликования: 8700202304030009
Дата опубликования: 03.04.2023
Страница №16 из 20:
Увеличить