Официальное опубликование правовых актов
ОФИЦИАЛЬНОЕ ОПУБЛИКОВАНИЕ
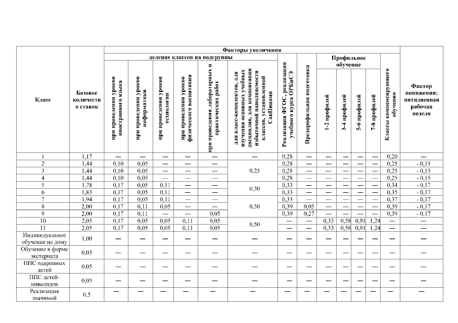
Постановление Правительства Чукотского автономного округа от 22.06.2023 № 268
"Об утверждении методик формирования модельных штатных расписаний и количества ставок педагогических работников для расчёта фонда оплаты труда образовательных учреждений Чукотского автономного округа, входящих в Чукотский (надмуниципальный) образовательный округ, на 2023 год и на плановый период 2024 и 2025 годов"
Номер опубликования: 8700202306260001
Дата опубликования: 26.06.2023
Страница №74 из 92:
Увеличить