Официальное опубликование правовых актов
ОФИЦИАЛЬНОЕ ОПУБЛИКОВАНИЕ
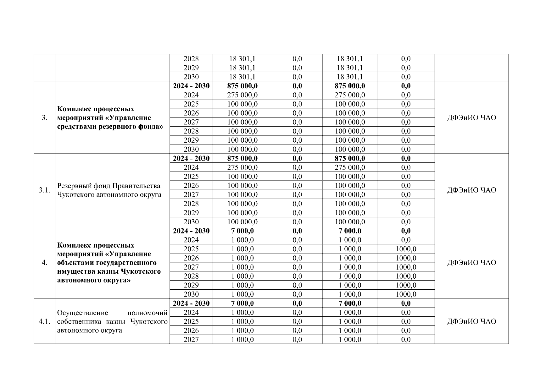
Постановление Правительства Чукотского автономного округа от 29.12.2023 № 506
"Об утверждении перечня расходных обязательств Государственной программы "Управление региональными финансами и имуществом Чукотского автономного округа"
Номер опубликования: 8700202312300004
Дата опубликования: 30.12.2023
Страница №4 из 11:
Увеличить