Официальное опубликование правовых актов
ОФИЦИАЛЬНОЕ ОПУБЛИКОВАНИЕ
Постановление Правительства Чукотского автономного округа от 29.12.2023 № 513
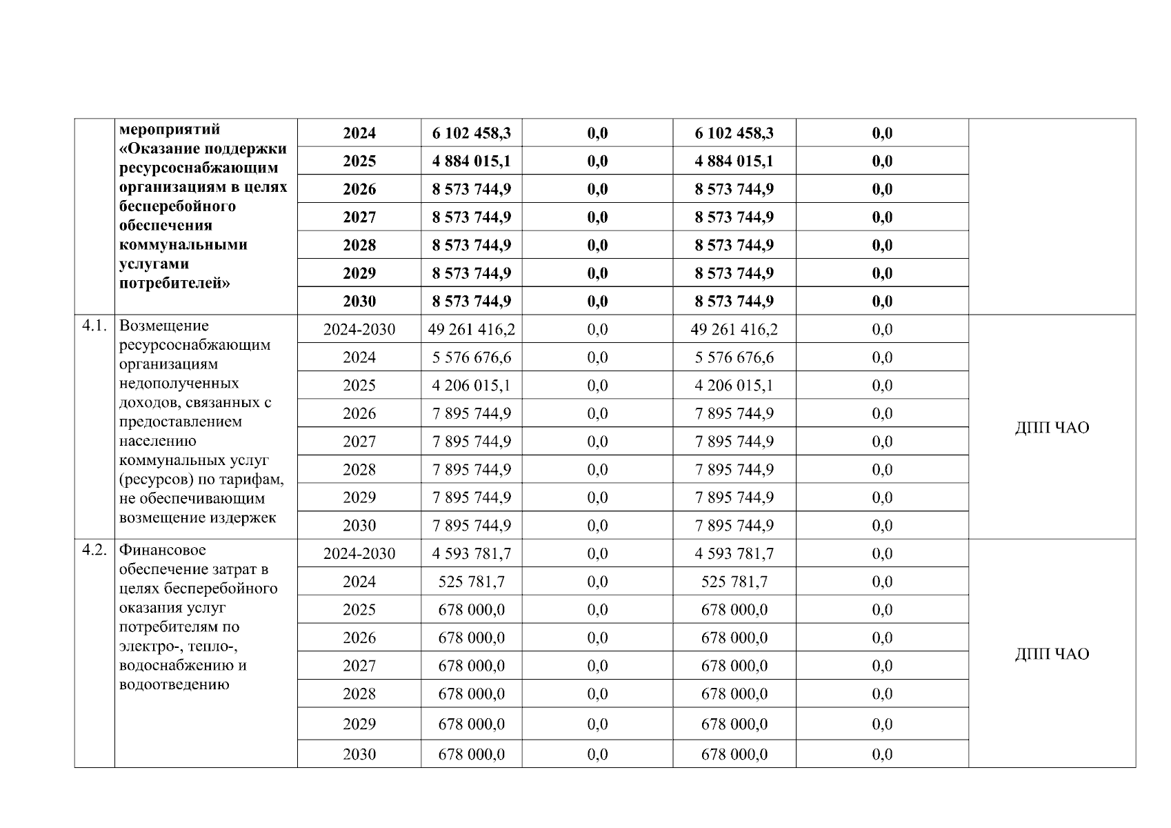
"Об утверждении перечня расходных обязательств Государственной программы "Развитие жилищно-коммунального хозяйства и водохозяйственного комплекса Чукотского автономного округа"
Номер опубликования: 8700202312300008
Дата опубликования: 30.12.2023
Страница №4 из 5:
Увеличить