Официальное опубликование правовых актов
ОФИЦИАЛЬНОЕ ОПУБЛИКОВАНИЕ
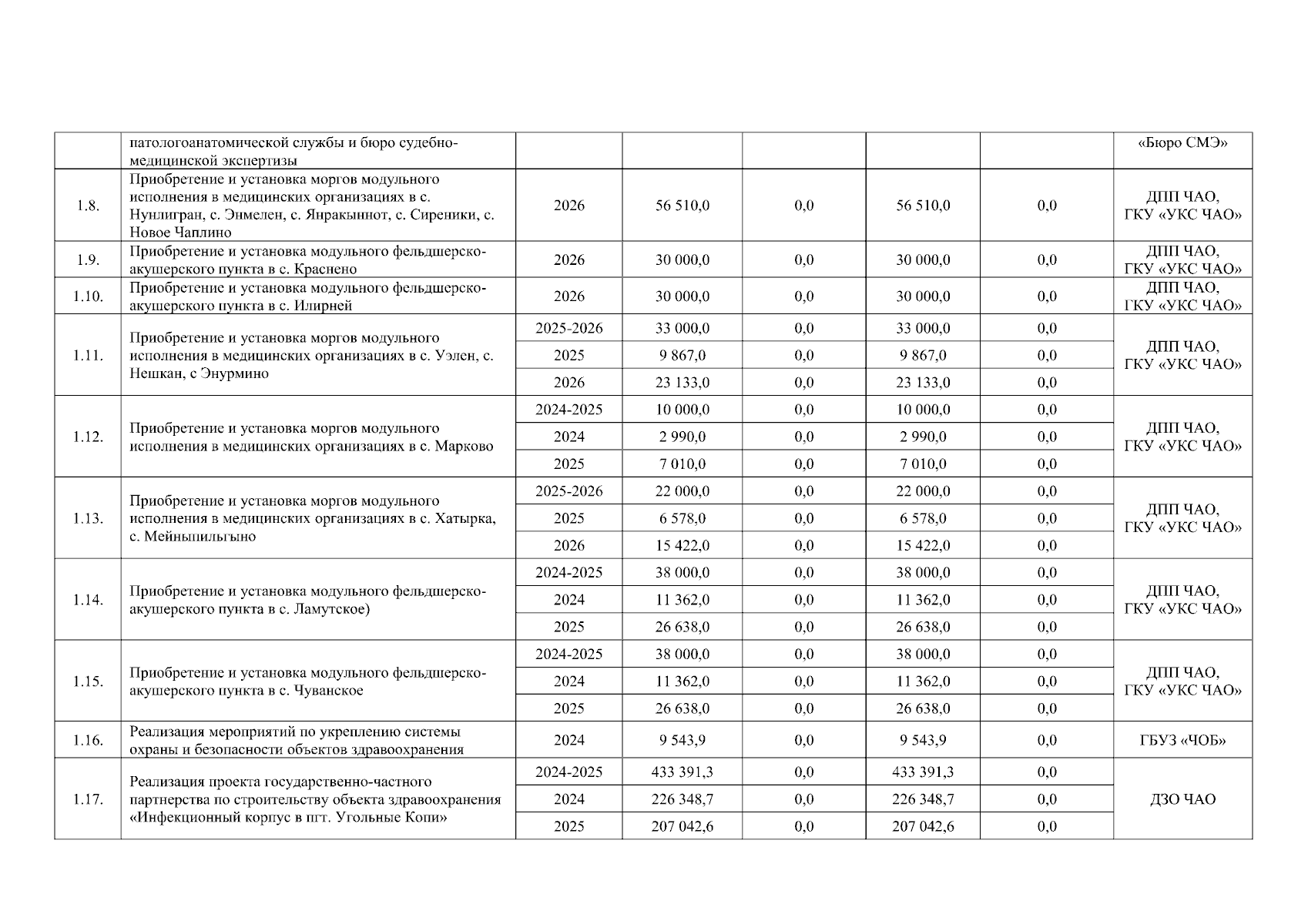
Постановление Правительства Чукотского автономного округа от 29.12.2023 № 519
"Об утверждении перечня расходных обязательств Государственной программы "Развитие здравоохранения Чукотского автономного округа"
Номер опубликования: 8700202312300012
Дата опубликования: 30.12.2023
Страница №4 из 27:
Увеличить