Официальное опубликование правовых актов
ОФИЦИАЛЬНОЕ ОПУБЛИКОВАНИЕ
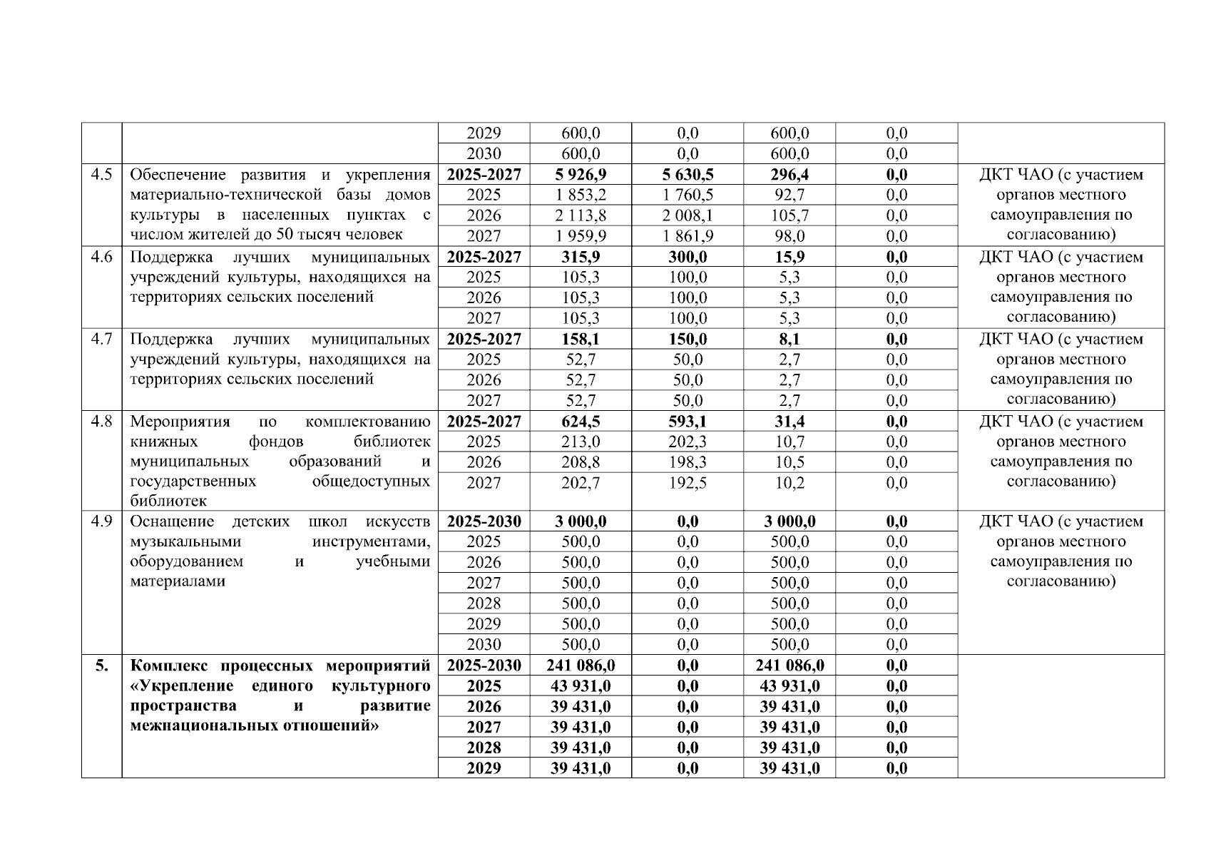
Постановление Правительства Чукотского автономного округа от 14.07.2025 № 420
"О внесении изменений в Постановление Правительства Чукотского автономного округа от 28 декабря 2024 года № 527"
Номер опубликования: 8700202507150009
Дата опубликования: 15.07.2025
Страница №6 из 24:
Увеличить