Официальное опубликование правовых актов
ОФИЦИАЛЬНОЕ ОПУБЛИКОВАНИЕ
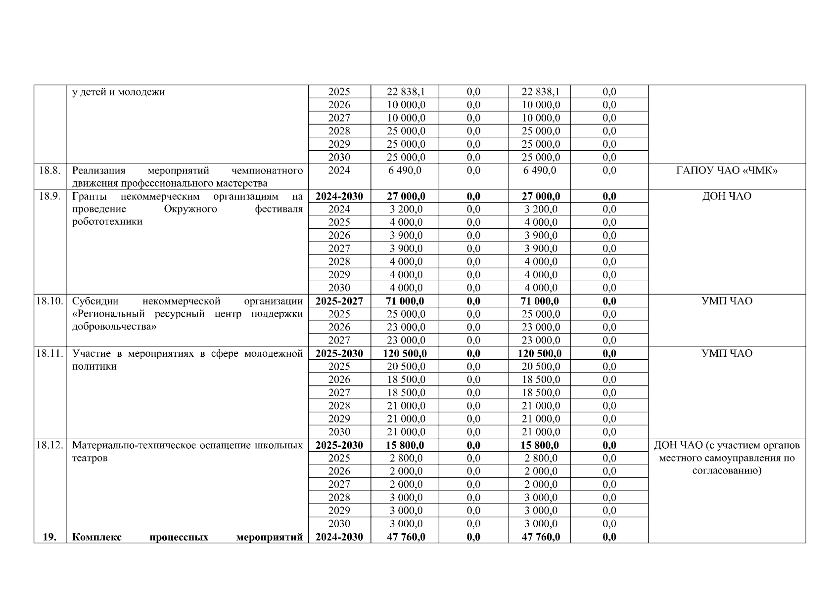
Постановление Правительства Чукотского автономного округа от 15.08.2025 № 487
"О внесении изменения в Приложение к Постановлению Правительства Чукотского автономного округа от 11 декабря 2023 года № 452"
Номер опубликования: 8700202508180004
Дата опубликования: 18.08.2025
Страница №21 из 29:
Увеличить