Официальное опубликование правовых актов
ОФИЦИАЛЬНОЕ ОПУБЛИКОВАНИЕ
Постановление Правительства Чукотского автономного округа от 29.08.2025 № 513
"О внесении изменения в Приложение к Постановлению Правительства Чукотского автономного округа от 29 декабря 2023 года № 566"
Номер опубликования: 8700202509010002
Дата опубликования: 01.09.2025
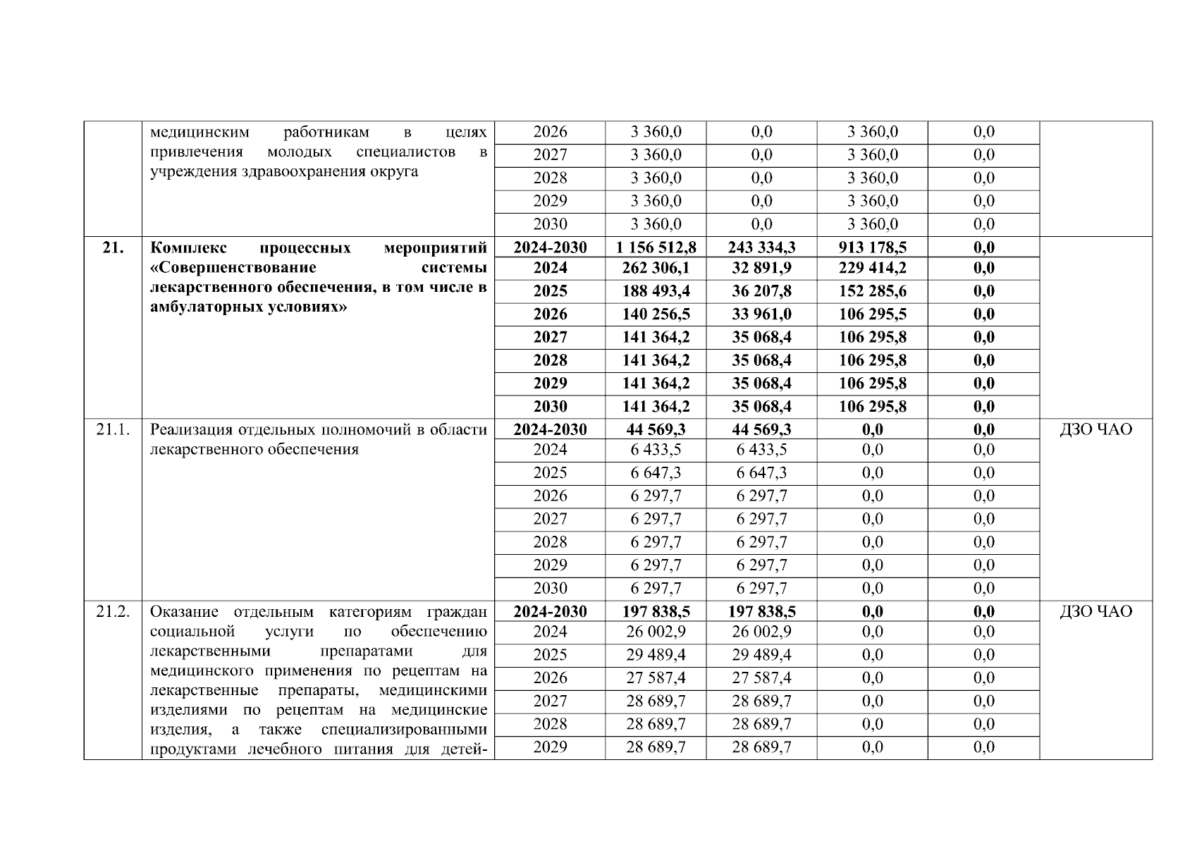
Страница №23 из 31:
Увеличить