Официальное опубликование правовых актов
ОФИЦИАЛЬНОЕ ОПУБЛИКОВАНИЕ
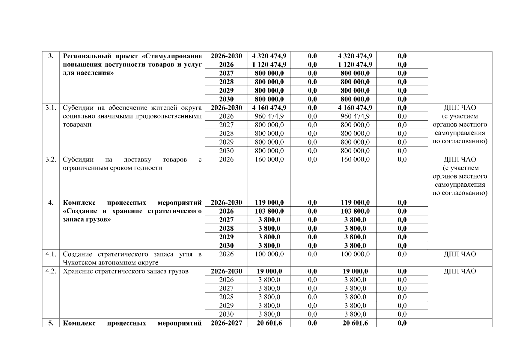
Постановление Правительства Чукотского автономного округа от 26.12.2025 № 683
"Об утверждении Государственной программы "Развитие промышленности и торговли в Чукотском автономном округе"
Номер опубликования: 8700202512300017
Дата опубликования: 30.12.2025
Страница №10 из 42:
Увеличить