Официальное опубликование правовых актов
ОФИЦИАЛЬНОЕ ОПУБЛИКОВАНИЕ
Постановление Правительства Чукотского автономного округа от 26.01.2026 № 7
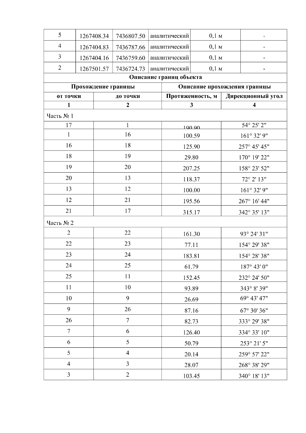
"Об утверждении зоны охраны объекта культурного наследия регионального значения "Чукотстрой. Дистанция "133-й км автододороги Эгвекинот Иультин", расположенный по адресу: Чукотский автономный округ, Иультинский район, 133-й км трассы "Эгвекинот-Иультин", у западного подножия горного массива Ръыгэльмын, в 15 метрах западнее автодороги Эгвекинот-Иультин и ниже по склону"
Номер опубликования: 8700202601260005
Дата опубликования: 26.01.2026
Страница №9 из 10:
Увеличить