Официальное опубликование правовых актов
ОФИЦИАЛЬНОЕ ОПУБЛИКОВАНИЕ
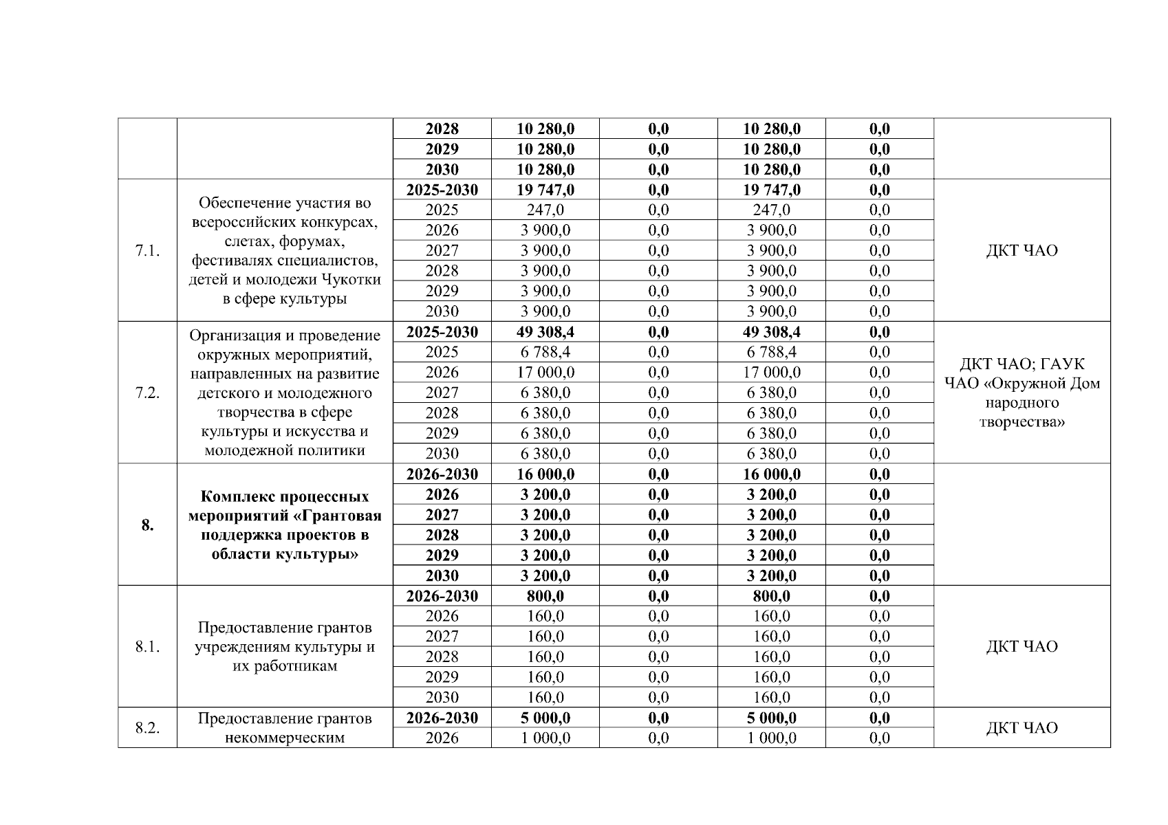
Постановление Правительства Чукотского автономного округа от 26.01.2026 № 16
"О внесении изменений в Приложение к Постановлению Правительства Чукотского автономного округа от 28 декабря 2024 года № 527"
Номер опубликования: 8700202601270001
Дата опубликования: 27.01.2026
Страница №13 из 40:
Увеличить