Официальное опубликование правовых актов
ОФИЦИАЛЬНОЕ ОПУБЛИКОВАНИЕ
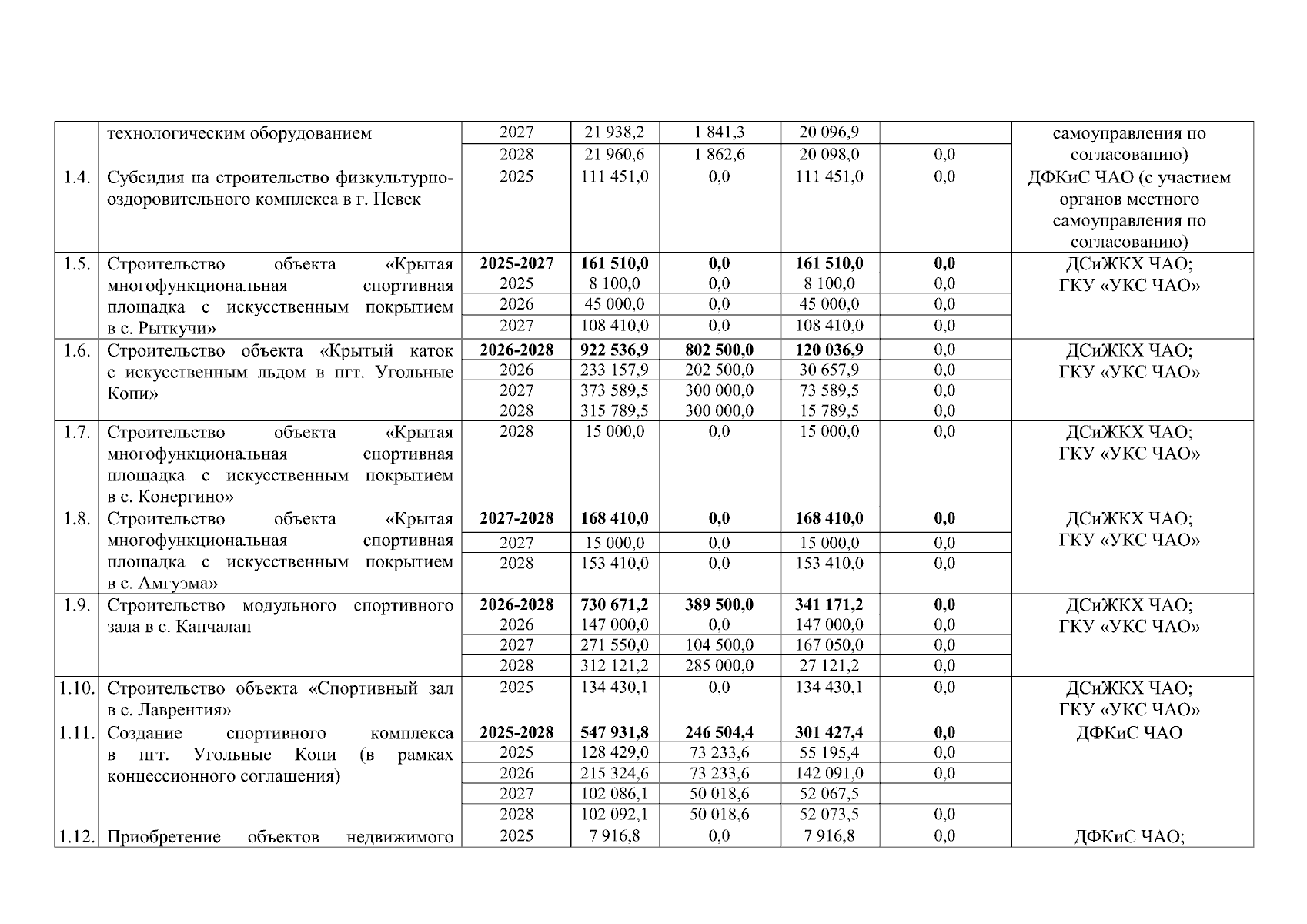
Постановление Правительства Чукотского автономного округа от 09.02.2026 № 28
"О внесении изменений в Приложение к Постановлению Правительства Чукотского автономного округа от 17 января 2025 года № 9"
Номер опубликования: 8700202602090007
Дата опубликования: 09.02.2026
Страница №3 из 11:
Увеличить