Официальное опубликование правовых актов
ОФИЦИАЛЬНОЕ ОПУБЛИКОВАНИЕ
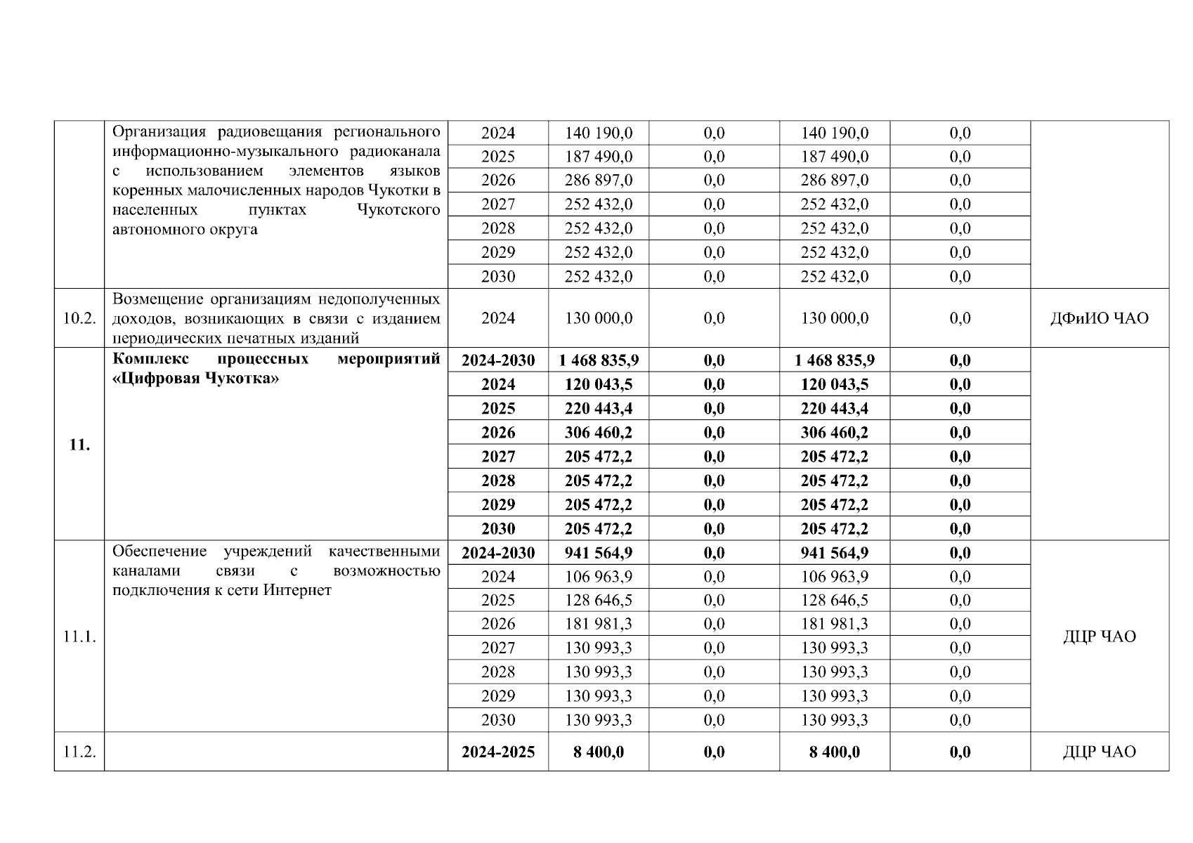
Постановление Правительства Чукотского автономного округа от 13.02.2026 № 36
"О внесении изменений в Постановление Правительства Чукотского автономного округа от 6 мая 2024 года № 166"
Номер опубликования: 8700202602160002
Дата опубликования: 16.02.2026
Страница №16 из 21:
Увеличить