Официальное опубликование правовых актов
ОФИЦИАЛЬНОЕ ОПУБЛИКОВАНИЕ
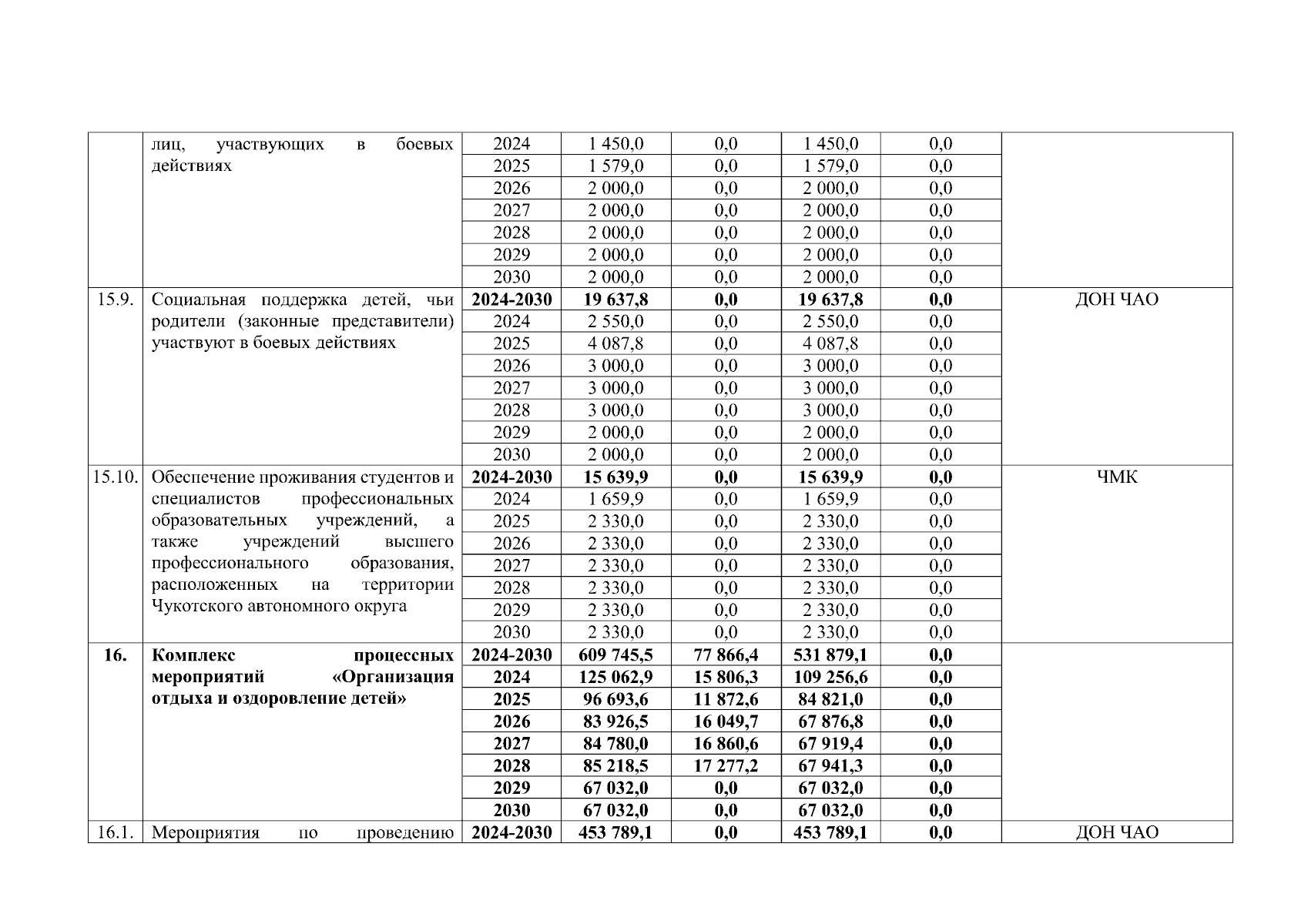
Постановление Правительства Чукотского автономного округа от 19.02.2026 № 52
"О внесении изменений в Приложение к Постановлению Правительства Чукотского автономного округа от 11 декабря 2023 года № 452"
Номер опубликования: 8700202602250001
Дата опубликования: 25.02.2026
Страница №18 из 67:
Увеличить