Официальное опубликование правовых актов
ОФИЦИАЛЬНОЕ ОПУБЛИКОВАНИЕ
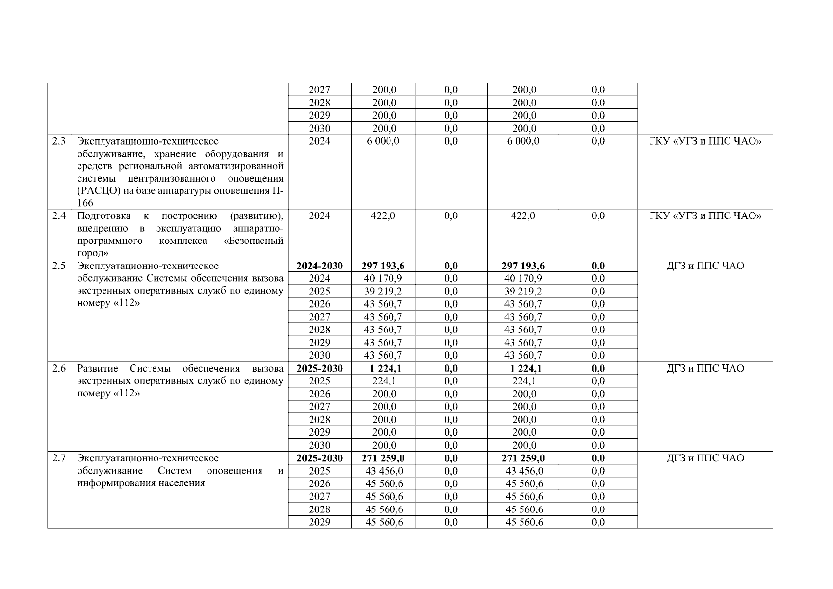
Постановление Правительства Чукотского автономного округа от 27.02.2026 № 56
"О внесении изменений в Постановление Правительства Чукотского автономного округа от 29 декабря 2023 года № 558"
Номер опубликования: 8700202603020001
Дата опубликования: 02.03.2026
Страница №4 из 16:
Увеличить