Официальное опубликование правовых актов
ОФИЦИАЛЬНОЕ ОПУБЛИКОВАНИЕ
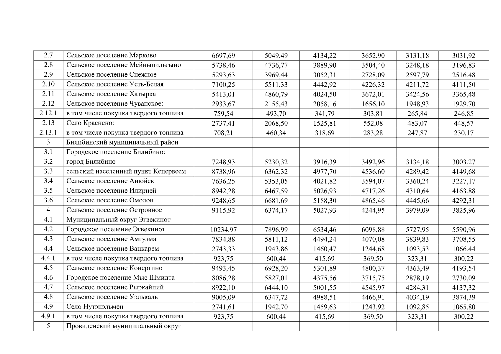
Постановление Правительства Чукотского автономного округа от 17.04.2026 № 119
"Об установлении региональных стандартов стоимости жилищно-коммунальных услуг, используемых для расчёта субсидий на оплату жилого помещения и коммунальных услуг в 2026 году"
Номер опубликования: 8700202604200004
Дата опубликования: 20.04.2026
Страница №7 из 24:
Увеличить