Официальное опубликование правовых актов
ОФИЦИАЛЬНОЕ ОПУБЛИКОВАНИЕ
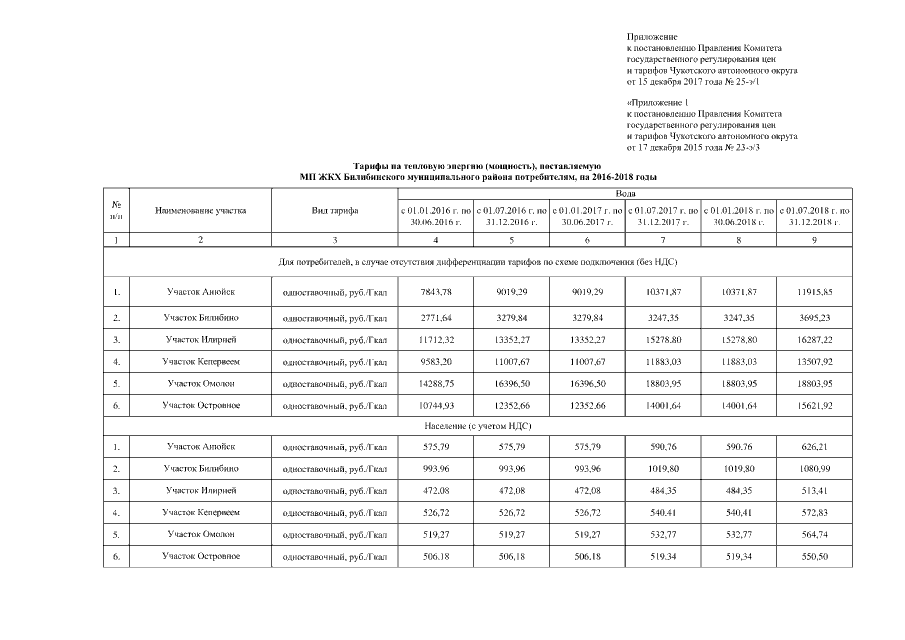
Постановление Правления Комитета государственного регулирования цен и тарифов Чукотского автономного округа от 15.12.2017 № 25-э/1
"О внесении изменений в постановление Правления Комитета государственного регулирования цен и тарифов Чукотского автономного округа от 17 декабря 2015 года № 23-э/3"
Номер опубликования: 8701201712180001
Дата опубликования: 18.12.2017
Страница №2 из 4:
Увеличить