Официальное опубликование правовых актов
ОФИЦИАЛЬНОЕ ОПУБЛИКОВАНИЕ
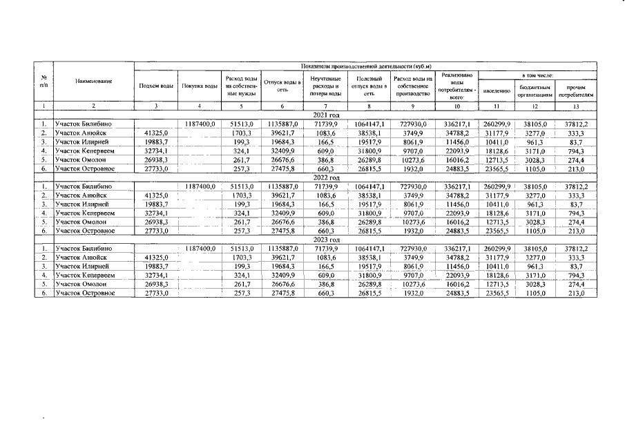
Постановление Правления Комитета государственного регулирования цен и тарифов Чукотского автономного округа от 04.12.2018 № 22-к/11
"Об утверждении производственных программ в сфере водоснабжения и водоотведения МП ЖКХ Билибинского муниципального района на 2019-2023 годы"
Номер опубликования: 8701201812070002
Дата опубликования: 07.12.2018
Страница №3 из 11:
Увеличить