Официальное опубликование правовых актов
ОФИЦИАЛЬНОЕ ОПУБЛИКОВАНИЕ
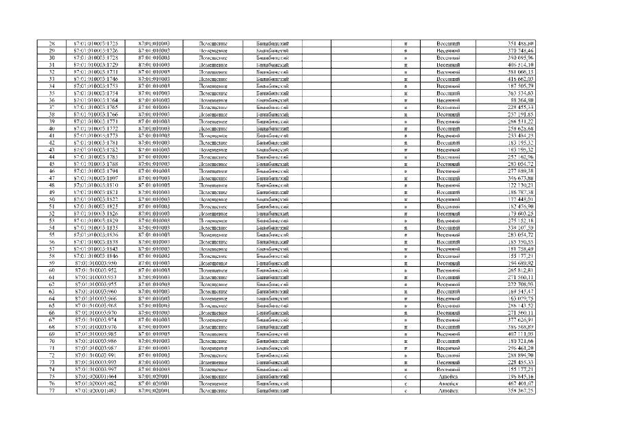
Приказ Департамента финансов, экономики и имущественных отношений Чукотского автономного округа от 23.11.2020 № 160
"Об утверждении результатов определения кадастровой стоимости всех видов объектов недвижимости, за исключением земельных участков, на территории Чукотского автономного округа"
Номер опубликования: 8701202011260001
Дата опубликования: 26.11.2020
Страница №4 из 2556:
Увеличить