Официальное опубликование правовых актов
ОФИЦИАЛЬНОЕ ОПУБЛИКОВАНИЕ
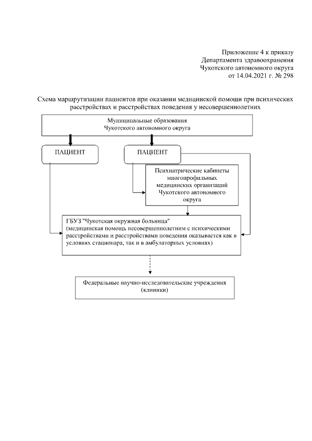
Приказ Департамента здравоохранения Чукотского автономного округа от 14.04.2021 № 298
"Об организации оказания психиатрической помощи населению на территории Чукотского автономного округа"
Номер опубликования: 8701202104210007
Дата опубликования: 21.04.2021
Страница №7 из 7:
Увеличить