Официальное опубликование правовых актов
ОФИЦИАЛЬНОЕ ОПУБЛИКОВАНИЕ
Постановление Комитета государственного регулирования цен и тарифов Чукотского автономного округа от 28.12.2021 № 30-э/3
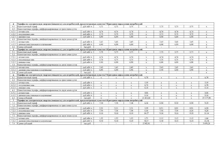
"Об установлении тарифов на электрическую энергию (мощность), поставляемую МУП "Айсберг" покупателям на розничном рынке Чукотского автономного округа, на 2022 год"
Номер опубликования: 8701202201030001
Дата опубликования: 03.01.2022
Страница №6 из 16:
Увеличить