Официальное опубликование правовых актов
ОФИЦИАЛЬНОЕ ОПУБЛИКОВАНИЕ
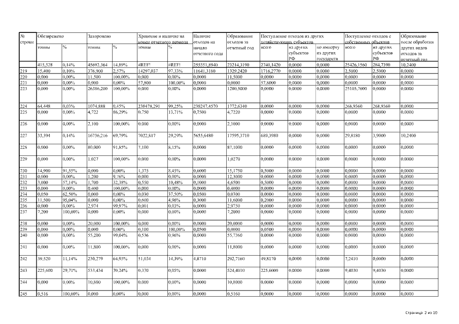
Приказ Департамента природных ресурсов и экологии Чукотского автономного округа от 22.12.2022 № 16
"Об утверждении территориальной схемы обращения с отходами Чукотского автономного округа"
Номер опубликования: 8701202212260002
Дата опубликования: 26.12.2022
Страница №798 из 859:
Увеличить