Официальное опубликование правовых актов
ОФИЦИАЛЬНОЕ ОПУБЛИКОВАНИЕ
Постановление Комитета государственного регулирования цен и тарифов Чукотского автономного округа от 12.12.2025 № 28-э/1
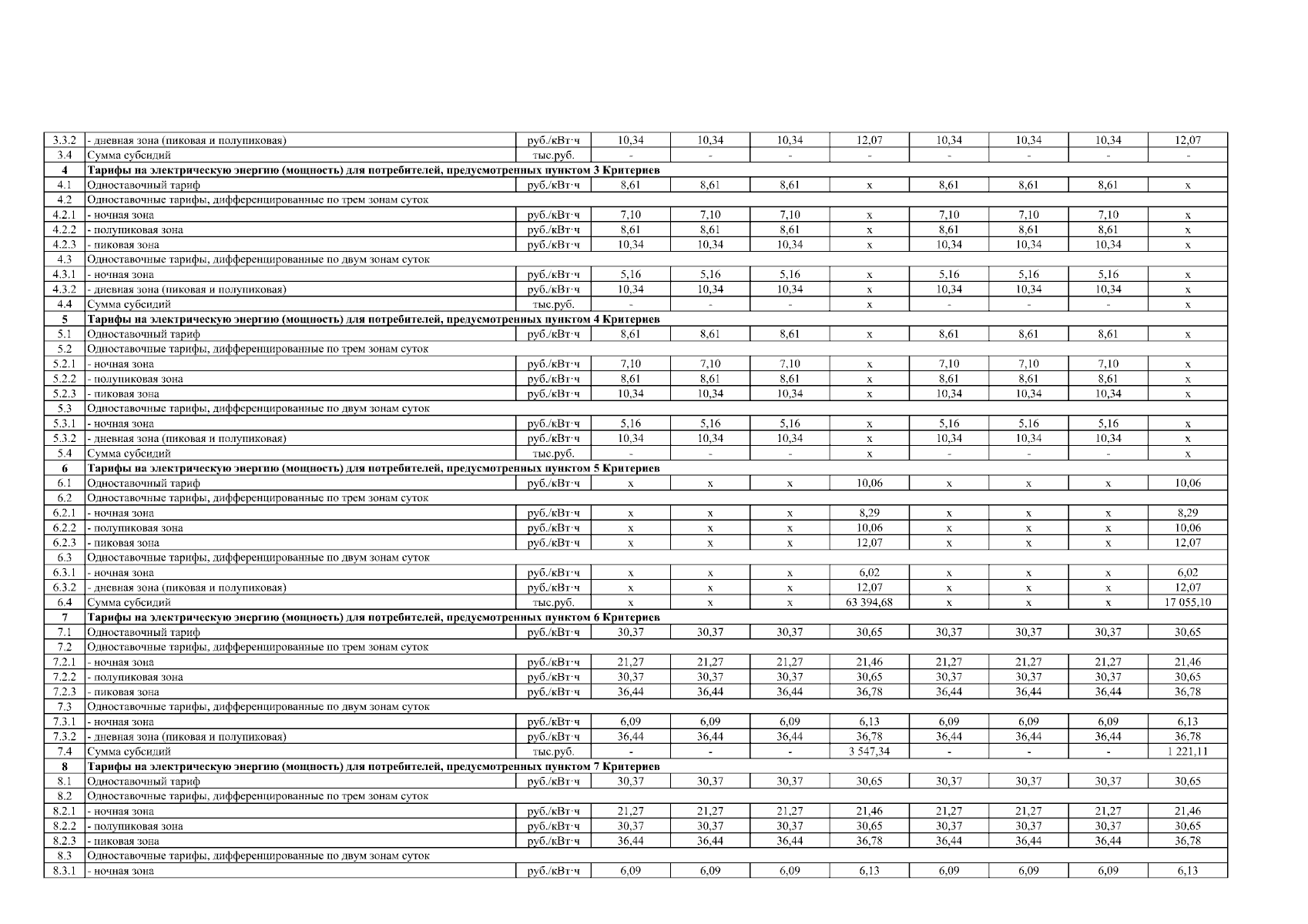
"Об установлении тарифов на электрическую энергию (мощность), поставляемую МУП "Айсберг" покупателям на розничных рынках Чукотского автономного округа, на 2026 год"
Номер опубликования: 8701202512160001
Дата опубликования: 16.12.2025
Страница №3 из 19:
Увеличить