Официальное опубликование правовых актов
ОФИЦИАЛЬНОЕ ОПУБЛИКОВАНИЕ
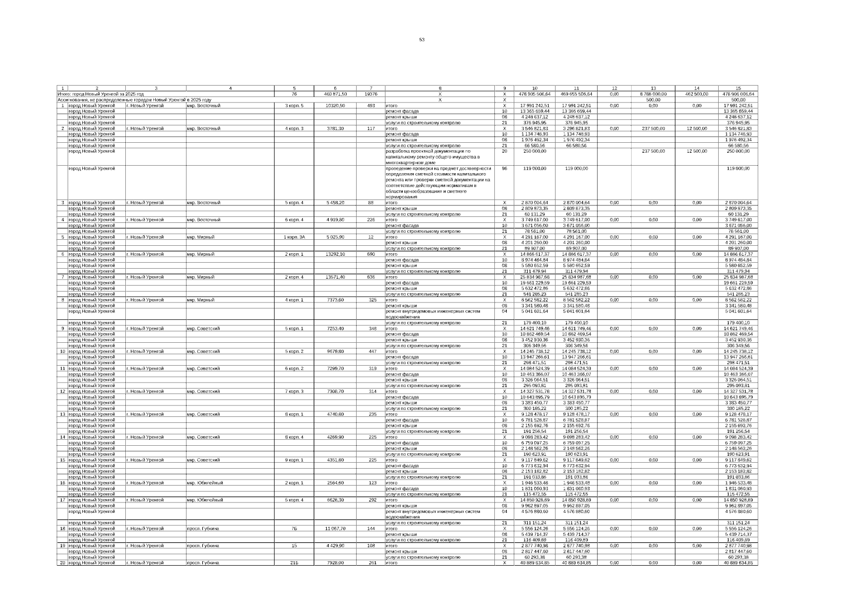
Постановление Правительства Ямало-Ненецкого автономного округа от 19.03.2025 № 154-П
"О внесении изменения в региональный краткосрочный план реализации региональной программы капитального ремонта общего имущества в многоквартирных домах, расположенных на территории Ямало-Ненецкого автономного округа, на 2023 – 2025 годы"
Номер опубликования: 8900202503210003
Дата опубликования: 21.03.2025
Страница №54 из 73:
Увеличить