Официальное опубликование правовых актов
ОФИЦИАЛЬНОЕ ОПУБЛИКОВАНИЕ
Постановление Правительства Ямало-Ненецкого автономного округа от 27.09.2025 № 517-П
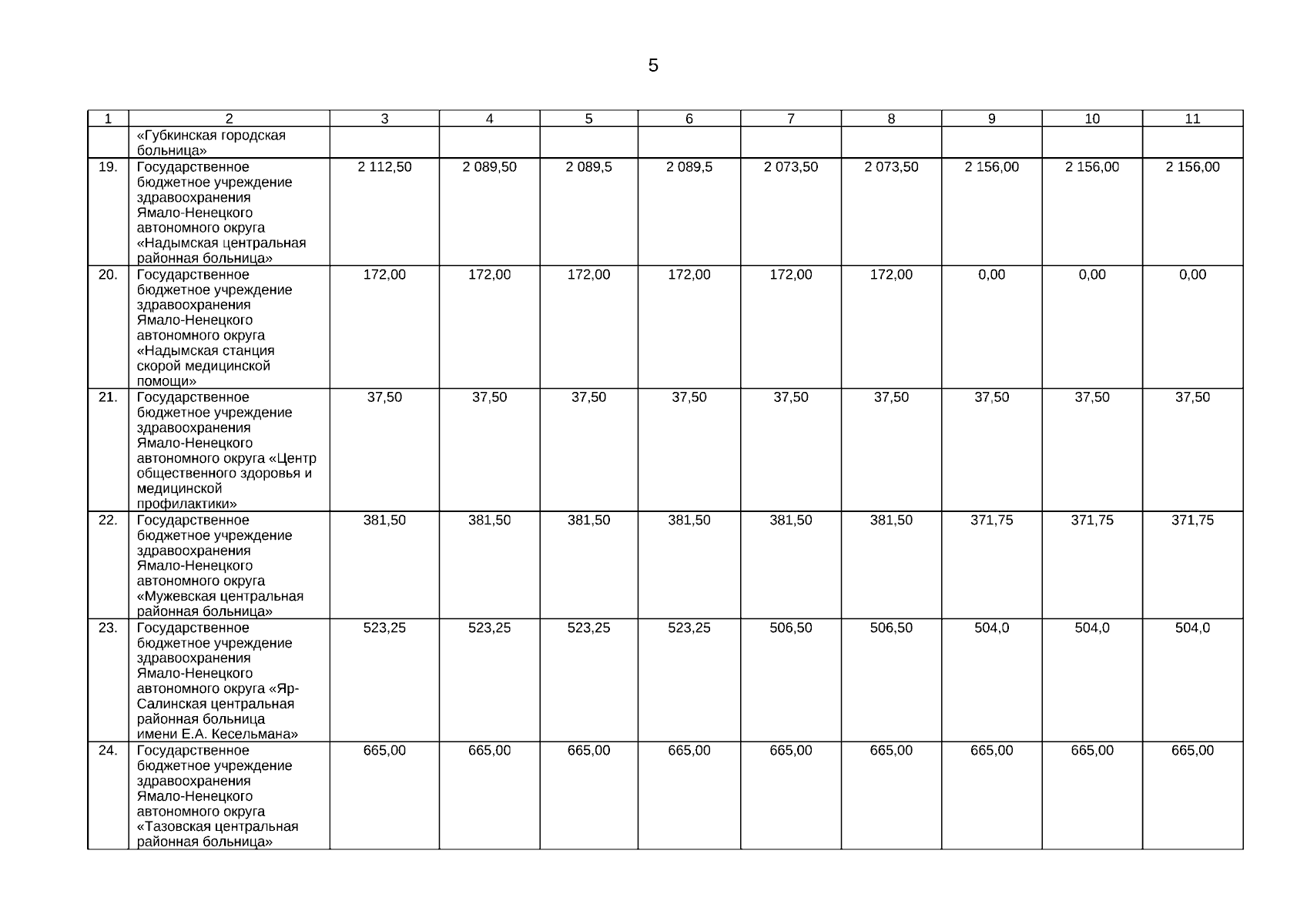
"Об изменении предельной штатной численности государственных учреждений, подведомственных департаменту здравоохранения Ямало-Ненецкого автономного округа"
Номер опубликования: 8900202510020001
Дата опубликования: 02.10.2025
Страница №7 из 8:
Увеличить