Официальное опубликование правовых актов
ОФИЦИАЛЬНОЕ ОПУБЛИКОВАНИЕ
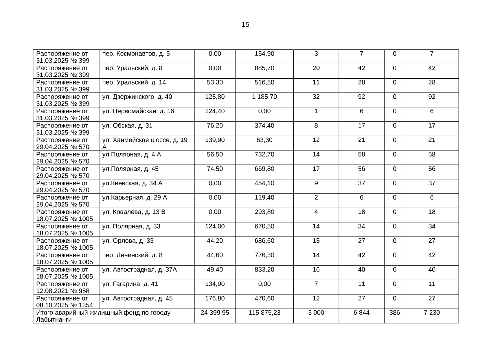
Постановление Правительства Ямало-Ненецкого автономного округа от 25.11.2025 № 642-П
"О внесении изменения в таблицу приложения № 1 к Программе по переселению граждан из аварийного жилищного фонда и жилищного фонда, планируемого к признанию аварийным, на территорииЯмало-Ненецкого автономного округа на 2019 – 2030 годы"
Номер опубликования: 8900202511270008
Дата опубликования: 27.11.2025
Страница №16 из 34:
Увеличить