Официальное опубликование правовых актов
ОФИЦИАЛЬНОЕ ОПУБЛИКОВАНИЕ
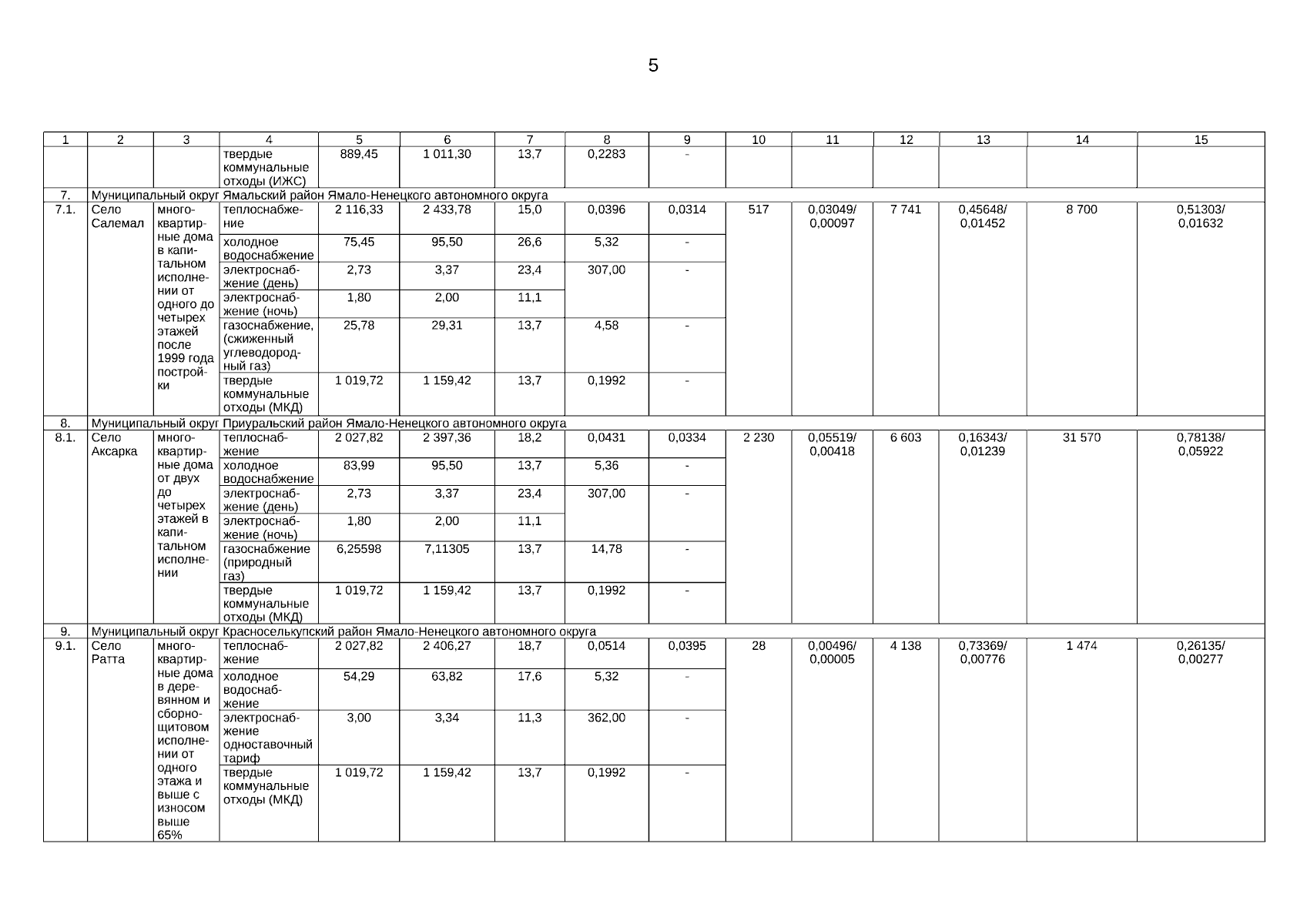
Постановление Губернатора Ямало-Ненецкого автономного округа от 21.02.2026 № 14-ПГ
"О внесении изменения в обоснование величины установленных предельных (максимальных) индексов изменения размера вносимой гражданами платы за коммунальные услуги в муниципальных образованиях в Ямало-Ненецком автономном округе на 2026 год"
Номер опубликования: 8900202602250029
Дата опубликования: 25.02.2026
Страница №6 из 8:
Увеличить