Официальное опубликование правовых актов
ОФИЦИАЛЬНОЕ ОПУБЛИКОВАНИЕ
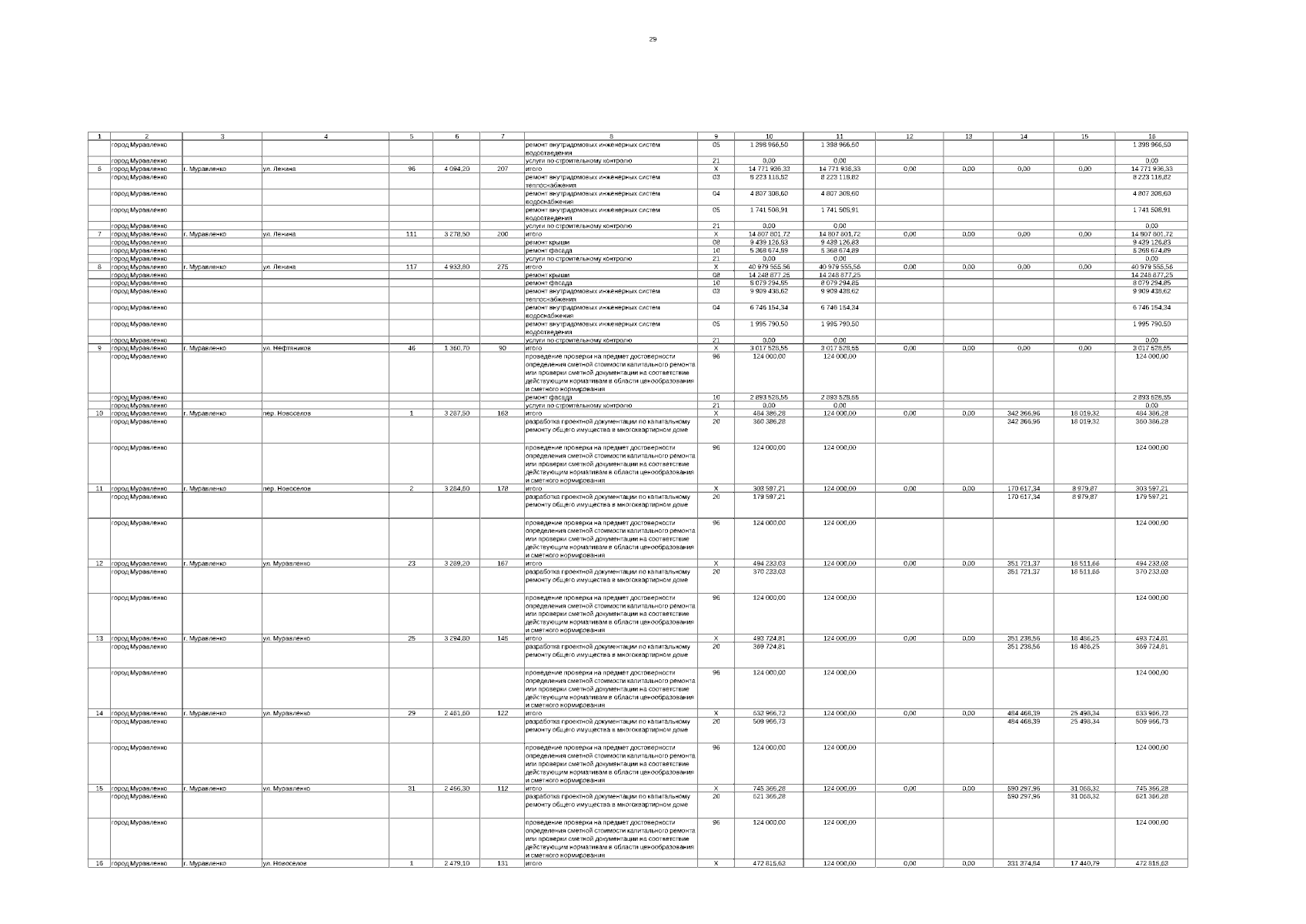
Постановление Правительства Ямало-Ненецкого автономного округа от 04.03.2026 № 117-П
"О внесении изменения в региональный краткосрочный план реализации региональной программы капитального ремонта общего имущества в многоквартирных домах, расположенных на территории Ямало-Ненецкого автономного округа, на 2026 – 2028 годы"
Номер опубликования: 8900202603060007
Дата опубликования: 06.03.2026
Страница №30 из 71:
Увеличить