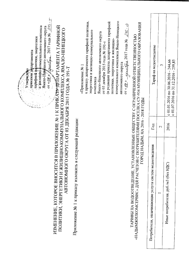
Приказ Департамента тарифной политики, энергетики и жилищно-коммунального комплекса Ямало-Ненецкого автономного округа от 08.12.2017 № 235-т
"О внесении изменения в приложение № 1 к приказу департамента тарифной политики, энергетики и жилищно-коммунального комплекса Ямало-Ненецкого автономного округа от 03 декабря 2015 года № 191-т"
(Зарегистрирован 12.12.2017 № 480)
"О внесении изменения в приложение № 1 к приказу департамента тарифной политики, энергетики и жилищно-коммунального комплекса Ямало-Ненецкого автономного округа от 03 декабря 2015 года № 191-т"
(Зарегистрирован 12.12.2017 № 480)
Номер опубликования: 8901201712140062
Дата опубликования:
14.12.2017
