Официальное опубликование правовых актов
ОФИЦИАЛЬНОЕ ОПУБЛИКОВАНИЕ
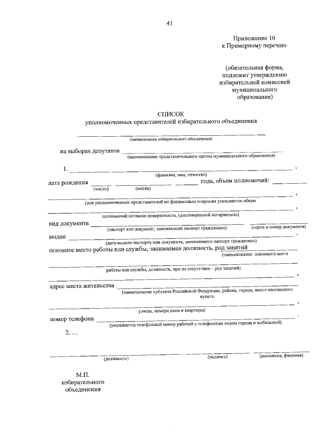
Постановление Избирательной комиссии Ямало-Ненецкого автономного округа от 17.05.2019 № 99/947-6
"О примерном перечне и формах документов, представляемых избирательными объединениями и кандидатами в избирательные комиссии при проведении муниципальных выборов в Ямало-Ненецком автономном округе"
Номер опубликования: 8901201905210003
Дата опубликования: 21.05.2019
Страница №44 из 86:
Увеличить